ACS709当前传感器IC经常提出的问题

ACS709当前传感器家族具有以下优势:
  • 用户调整的过电流故障级别
  • 高速过电流故障响应(<2 µs)
  • 宽带宽度为120 kHz
  • 低噪声,因此更好的电流分辨率
  • 小足迹表面安装QSOP24包装
  • 高隔离电压允许高工作电压
  • 汽车应用的广泛环境温度范围雷竞技最新网址
IPOA的“优化精度范围”是当前在工厂中进行ACS709的修剪的范围。在整个线性传感范围内,ACS709几乎将同样准确。
是的。只需将故障销引脚连接到 /故障输出引脚(如图1所示)即可实现自动故障重置。该配置使电路充当当前比较器。(有关输入和输出信号波形,请参见图2中的示波器图。)建议使用COC,以避免在 /故障引脚处避免任何可能的故障。它应该具有适当的值,通常大于1 nf,取决于噪声环境和所需的故障响应时间。

图1.建立的连接以启用自动重置过电流故障。
输入输出波形
图2. ACS709的输入(IP-)和输出(故障)信号波形
COC = 100 nf的图1中显示的配置。
是的。ACS709家族使用霍尔效应技术,该技术能够感测具有直流和交流电成分的电流。如数据表所示,ACS709的带宽为120 kHz。频率含量大于120 kHz的交流电流的输出可能会滞后和振幅衰减。对于瞬态电流信号,响应时间为≈4µs。
将ACS709与类似物到数字转换器一起使用时,此功能特别有价值。A到D转换器通常从参考电压输入中得出其LSB。如果参考电压有所不同,则LSB将按比例变化。ACS709的比例特征意味着其增益和偏移与供应电压VCC成正比。如果ACS709的参考电压和电源电压来自同一源,则ACS709和A-to-D转换器既会跟踪这些变化,并且此类变化将不会成为模拟对 - 到达的误差源ACS709输出的数字转换。图3是ACS709-35BB的主要电流,IP,IP,VS输出电压,VOUT的图。偏移和灵敏度水平与VCC成比例地移动。例如,当VCC = 5.5 V时,0 A输出为5.5 ⁄ 2 = 2.75 V名称,灵敏度为30.8 mV/A名称。
输入与输出
图3. ACS709-35BB输出电压与主电压
感应电流,在各种供应电压水平下。
Allegro建议在VCC引脚和GND引脚之间使用0.1 µF旁路电容器。电容器应位于ACS709包装主体的可行性附近。其他外部组件的使用取决于应用程序;请参阅数据表的典型应用程序部分。
不,在工厂编程了ACS709敏感性和0安培静态电压水平。
ACS709传感器ICS家族的当前分辨率受设备输出信号的噪声局的限制。例如,ACS709-20BB版本可以在25°C,全带宽下解决当前水平约为160 mA的变化。ACS709-35BB版本可以解决约210 mA。在这些水平上,耦合到线性霍尔效应IC的磁场量就在其噪声底上方。通过对需要较低带宽的应用过滤ACS709的输出,可以显着改善分辨率。雷竞技最新网址噪声水平将与频率平方成比例地扩展到一阶。这意味着ACS709-20BB的较低带宽的噪声可以近似为:
当前分辨率方程
使用上面给出的方程式,表1给出了不同滤波器电容器值CF的分辨率值,该值与内部电阻RF(INT)(典型值1.7kΩ)形成一阶RC滤波器。

表1. ACS709-20BB噪声水平和电流分辨率
相对于过滤电容和产生的带宽

CF
(NF)

BW
(千赫)

vRMS噪音
(µV)

vp-p噪音
(µV)

当前分辨率
(嘛)

0

120

1500

9000

161

1

94

1327

7966

143

2.2

43

898

5387

96

4.7

20

612

3674

66

10

9

411

2465

44

22

4

274

1643年

30

典型的ESD公差是6 kV人体模型和600 V机器模型。
ACS709电流导体和传感器接地之间的电容约为2 pf。
不,ACS709家族无铅(PB)。所有销钉都用100%的哑光锡镀板,包装内没有铅。
是的,从:ACS709 Gerber文件(ZIP)下载。
是的,可以从:ACS709布局图(PDF)下载布局绘图PDF文件。
假设:
答:当前的载有导体与大厅元件在同一平面上,并且
B.导体的长度无限
基于上述假设的结果将是最坏的情况,就当前载体导体在霍尔元件上产生的杂散场的影响而言。
沿垂直于导体和霍尔元件所在的平面的方向生成的磁场在导体l的距离为L为:
β= µ×I ⁄(2π×l)(特斯拉)
在哪里
µ = µ0 =4π×10-7(h/m)=400π(NH/m),假设周围没有核心材料,
我在安培中,电流在导体中流动,并且
L为米,即所考虑的点与导体之间的距离。
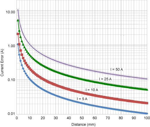
该分析基于以下事实:ACS709家族的磁耦合系数通常为每个安培(0.95 mt/a)9.5高斯。
图4中的图显示了由电流携带导体在不同距离处与霍尔元件相同的平面所引起的绝对电流误差。相对于全范围的百分比误差,应计算为:
err =(绝对当前错误⁄ ip)×100(%)
绝对当前错误
图4.各种电流值的绝对电流误差与分离距离。
ACS709家族已通过UL认证为以下标准:UL1577。

模具化合物已识别为UL94V-0。
在图5中显示了0 a的ACS709-20BB在慢速升高期间的ACS709-20BB的典型输出行为,图6中显示了12.5 a。

慢速VCC坡道在0 a IP

图5. IP = 0 A的VCC升级。
慢速VCC坡道在12.5 A IP
图6. IP = 12.5 A. VCC升级。
表3和图7(IP = 0 A,VCC = 5 V)和图8(IP = 12.5 A,VCC = 5 V)给出了有效输出的典型时间。但是,我们建议使用3倍至5倍的安全保证金,以说明过程和温度范围的电动时间变化。

表3. ACS709-20BB输入电流与电动时间的时间

p
(一个)

tpo
(µs)

0

14

12.5

16

启动在0 a IP
图7. ACS709-20BB的启动使用0 a,然后是从0到5 V的VCC步骤。
启动时12.5 A IP
图8. ACS709-20BB的启动使用12.5 A,然后是0到5 V的VCC步骤。
深饱和度的ACS709-35B VIOUT响应时间小于9 µs。有关详细信息,请参见图9中的示波器图。
饱和度
图9.测试条件:饱和度,VCC = 5 V,TA = 25°C,
IP = 180 a;对于线性viout,IP = 40A。
图10中的图显示了ACS709电流传感器IC电路的高频率响应模拟的结果。顶部的图是振幅响应,底部的图是相位响应。
频率响应
图10. ACS709的频率响应。
传感器的输出可能振荡。
ACS709可能不会产生有效的输出,因为输出驱动程序将无法提供足够的电流。
以下过电流限制结果基于Allegro ASEK709评估委员会。在不同的应用板上,限制可能有所不同。有关Allegro ASEK709评估委员会的详细信息,请参阅常见问题解答,我可以获取评估委员会的Gerber文件吗?
表4给出了连续直流电流的结果,表5给出了脉冲电流的结果。图11显示了各种输入电流水平对死亡温度的影响。

表4.连续电流过电流极限
ASEK709评估委员会,在各种环境温度下

t一个
(°C)

P(OCLIM)
(一个)

25

50

85

40

125

25

150

20



表5.脉冲电流过电流极限
ASEK709评估板,在室温下

p
(一个)

期间
(小姐)

占空比
(%)

数量
脉冲允许

100

1000

NA

单身的

100

300

30

20

150

200

NA

单身的

150

100

10

20

200

50

NA

单身的

200

20

10

20

死温度
图11. ACS709模具温度(°C)与连续的直流IP电流(a)
请参阅图12中的图表,以获取来自ACS709-20BB设备的分布数据,这些分布数据以(12A)灵敏度为特征,(12B)非线性,(12C)对称性和(12D)总误差。
图12a。ACS709-20BB敏感性与IP时的环境温度与环境温度
图12b。ACS709-20BB非线性与IP处的环境温度= 37.5 A
图12c。ACS709-20BB对称性与环境温度在IP = 37.5 A时
图12d。ACS709-20BB在IP = 37.5 A处的总误差与环境温度
图13中的图显示了在一系列操作环境温度范围内的过电流故障级别误差的分布。数据来自有限数量的设备,仅供参考。
图13. ACS709-20BB过电流错误与环境温度
通过将高频正弦频率注入高电流导线,进行了铅框噪声排斥测试。然后测量信号耦合到霍尔效应设备的输出上。如表6所示,ACS709家族设备表现出高水平的铅框噪声排斥。此外,图14表示性能与频率的函数。

表6.典型的电容耦合
20 vp-p在感知的电流路径上的信号

频率
(MHz)

v出去
(MVp-p

噪音拒绝
(D b)

5

5

-72

10

16

-62

15

40

-54

20

58

-51

电容耦合
图14. ACS709噪声排斥与噪声频率